Ridefinizione del gruppo dei GAL (Gruppi di Azione Locale) operanti sul territorio regionale pugliese - Stato di avanzamento del Programma di Governo
Agricoltura
Ridefinizione del gruppo dei GAL (Gruppi di Azione Locale) operanti sul territorio regionale pugliese
I 23 Gruppi di azione locale (GAL) operativi in Puglia orientano le loro strategie di sviluppo locale (SLL) e la loro programmazione con l’obiettivo di valorizzare il patrimonio rurale e costiero (introduzione del Bifondo Feasr e Feamp), salvaguardando le risorse ambientali e contrastando attivamente lo spopolamento delle aree interne.
Sono molteplici i settori nei quali, attraverso l’attivazione della rete di partenariato, i GAL puntano a generare innovazione dei sistemi produttivi e nuova occupazione per lo sviluppo dei territori.
In particolare le strategie dei GAL coinvolgono i settori:
- agroalimentare
- artigianale
- manifatturiero
- produzione energetica
- promozione sociale e riqualificazione urbana dei territori
- valorizzazione dei beni culturali locali
- promozione del turismo sostenibile e lento

Fondi
- solo FEASR in 13 GAL
- FEASR - FEAMP (bifondo) per 9 GAL
- FEASR - FESR (strategia nazionale Aree Interne SNAI) per 1 GAL (con possibilità di ampliamento a 4 GAL interessati nel corso del 2020).
Risultati
- 23 Gruppi di Azione Locale (di cui 9 costieri) che coinvolgono 249 comuni e 3,2 milioni di abitanti della Regione Puglia
Quando
- 2020
- Al 30 gennaio 2020 la struttura regionale ha lavorato n. 111 Bandi GAL, di cui 85 sono stati già pubblicati e per essi sono in corso le istruttorie tecnico-amministrative
- Nel corso del 2020 la struttura regionale conta di far completare la pubblicazione dei Bandi GAL e l’attivazione delle azioni a Regia Diretta
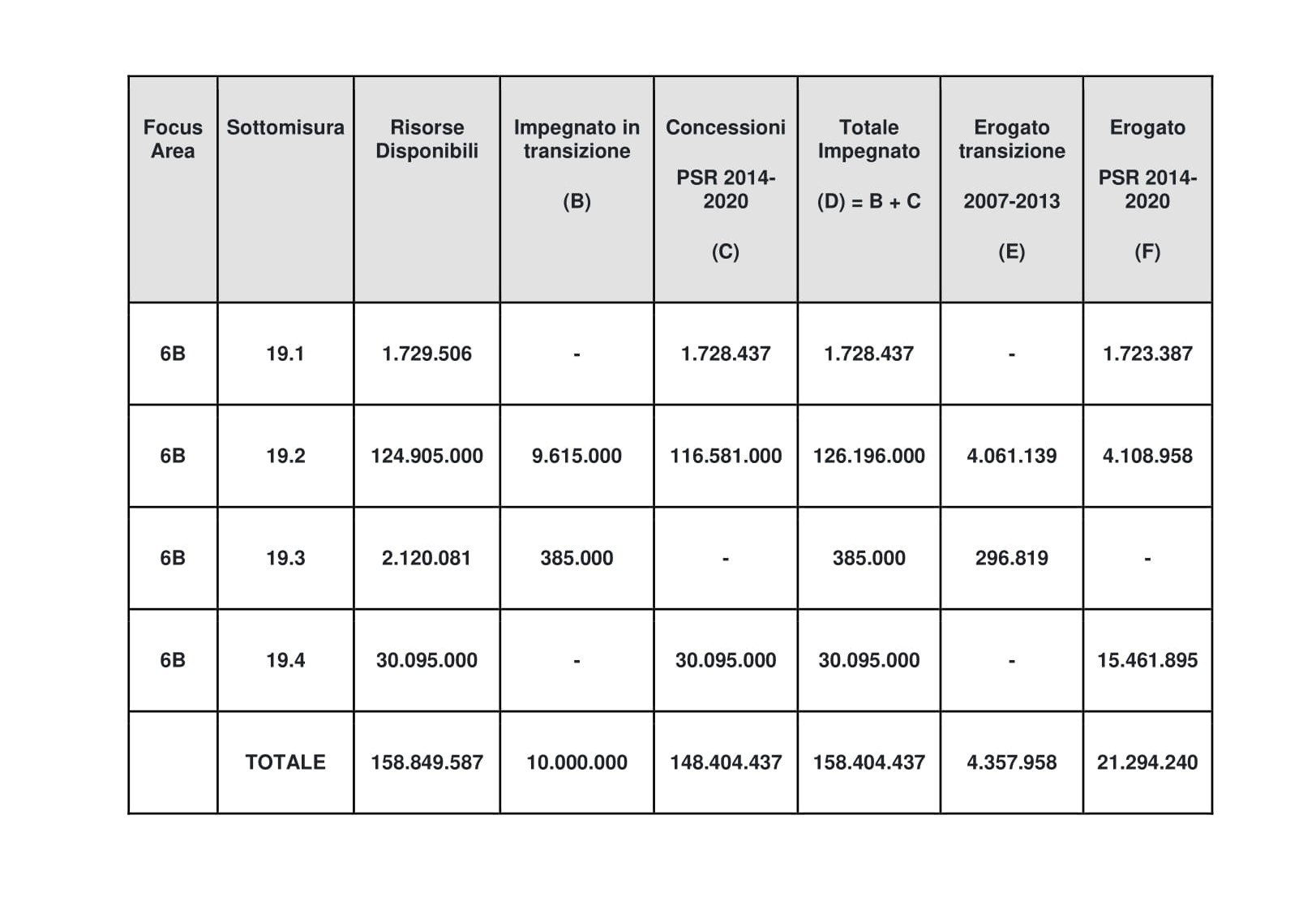
- Lo stato di avanzamento della Misura 19 è rappresentato nella tabella in allegato
- 2019
- Dicembre: Pubblicazione di n.135 Bandi GAL
- 2018
- Settembre: inizio pubblicazione Bandi GAL
- 2017
- Settembre: Approvazione graduatoria dei Gruppi di Azione Locale
- Novembre: Sottoscritte le convenzioni tra Regione Puglia e i GAL del territorio regionale
Beneficiari
- Regione Puglia
- Popolazione pugliese
- GAL – Gruppi di Azione Locale
- Attori locali dello Sviluppo Rurale e Costiero
Partner
- Partenariato socio-economico del Comitato di Sorveglianza del PSR Puglia 2014-2020